
Evidence is emerging that policies targeting plastic pollution are taking effect and make a different for the environment. Data shows that plastic bag policies can reduce the share of plastic bags by up to 47% as well as reduce plastic entanglment of animals by up to 37%.
Plastic pollution is one of the most pressing environmental challenges of our time, choking marine and freshwater ecosystems and threatening wildlife globally. Among the most notorious culprits are single-use plastic shopping bags, which easily escape waste management systems and litter shorelines, harming animals and ecosystems.
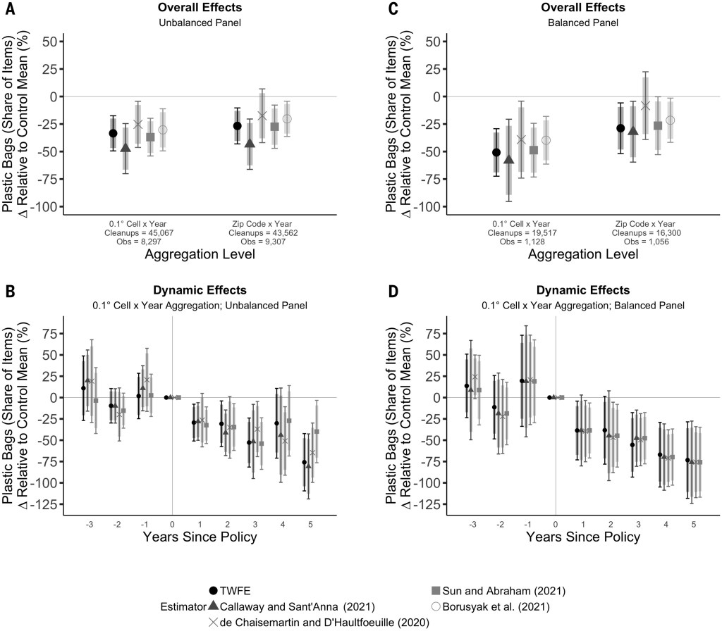
A study published in Science in June 2025, by researchers Anna Papp of Columbia University and Kimberly L. Oremus of the University of Delaware reveals that plastic bag bans and fees significantly reduce plastic bag litter on shorelines across the United States, offering powerful evidence for policymakers worldwide.
Plastic bags are a pervasive form of pollution, accounting for about 14% of all marine litter items globally. These lightweight bags are easily carried by wind and water, often ending up in rivers, lakes, and oceans where they entangle wildlife or block digestion when ingested. The economic and ecological damages are staggering, with global social costs estimated to exceed $100 billion annually due to harm to marine ecosystems and associated services.
In response, over 100 countries have enacted regulations to curb plastic bag use, ranging from outright bans to fees charged at the point of sale. Yet, until now, the real-world impact of these policies on reducing plastic litter in the environment had not been rigorously quantified, especially across diverse geographic and policy contexts.

Papp and Oremus leveraged the “patchwork” of plastic bag policies enacted at town, county, and state levels across the U.S. between 2017 and 2023. They combined this policy data with an unprecedented dataset of 45,067 citizen science shoreline cleanups, where volunteers meticulously counted and categorized litter items found along coasts, rivers, and lakes.
Using robust statistical methods to compare litter trends before and after policy implementation—and against locations without such policies—the researchers isolated the causal effects of bans and fees on plastic bag pollution.
The study found that plastic bag policies led to a 25% to 47% reduction in the proportion of plastic bags among total litter collected on shorelines relative to areas without policies. This decrease grew stronger over time, with no signs of the problem rebounding or simply shifting elsewhere.
Both full bans (prohibiting all single-use bags) and fees (small charges per bag) were effective, while partial bans—often allowing thicker “reusable” bags—had smaller and less consistent impacts. State-level policies showed the most robust results, but local bans and fees also contributed meaningfully.
The policies worked across different shoreline types—coasts, rivers, and lakes—with some evidence suggesting even greater effects along lakeshores. Importantly, the study also observed an imprecise but suggestive 30% to 37% reduction in wildlife entanglement incidents related to plastic bags in areas with policies.
The authors compiled data on 611 plastic bag policies across the U.S. and analyzed cleanup data spanning eight years (2016-2023). Their difference-in-differences statistical approach accounted for pre-existing litter trends and controlled for confounding factors, providing strong causal evidence of policy effectiveness.
While the study’s large-scale, multi-year dataset is a major strength, it relies on shoreline cleanups as a proxy for overall plastic pollution, which may not capture litter in deeper waters or sediments. Moreover, while promising, the reduction in wildlife entanglement, was not statistically definitive and warrants further study.
Expanding such regulations could substantially decrease plastic pollution and its devastating effects on wildlife and ecosystems, helping to protect biodiversity, tourism, and human health. As plastic waste generation is projected to rise, scaling up these interventions is critical to curbing the tide of plastic debris entering waterways.
Why it matters.
Empirical evidence supporting the efficacy of environmental policies can be few and far betwee. This study highlights that banning or charging for plastic bags can yield significant environmental benefits, offering positive evidence shaping the path forward in the global fight against plastic pollution. Compiling data, evidence, and case studies can help affirm the validity of policies and inform future policies with proven evidence to support them.
References:
Study:
Papp, A., & Oremus, K. L. (2025). Plastic bag bans and fees reduce harmful bag litter on shorelines. Science, 388, eadp9274. DOI: 10.1126/science.adp9274
Further Reading:
- Jambeck, J. R., et al. (2015). Plastic waste inputs from land into the ocean. Science, 347(6223), 768-771.
- Ocean Conservancy. (2024). International Coastal Cleanup Report.
- United Nations Environment Programme. (2022). Global Plastics Treaty Negotiations Update.